Ακυρώσεις και τροποποιήσεις πτήσεων της Aegean Airlines και της Olympic Air τη Δευτέρα

Ακυρώσεις και τροποποιήσεις πτήσεων της Aegean Airlines και της Olympic Air τη Δευτέρα
Photo:

Δείτε εδώ ποια δρομολόγια επηρεάζονται εξαιτίας των απεργιακών κινητοποιήσεων.

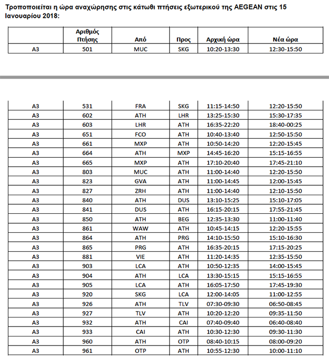
Ακυρώσεις και τροποποιήσεις πτήσεων επιφέρει στα δρομολόγια της Aegean και της Olympic Air η τρίωρη στάση εργασίας που προγραμματίζουν τη Δευτέρα οι Ελεγκτές Εναέριας Κυκλοφορίας.

Η Aegean και η Olympic Air αναγκάζονται να τροποποιήσουν την ώρα αναχώρησης σε 28 σκέλη πτήσεων εξωτερικού και  20 σκέλη πτήσεων εσωτερικού ενώ ακυρώνουν 13 σκέλη πτήσεων εσωτερικού, ως εξής: